library(tidyverse)ggplot2 layers
1 Introduction
1.1 Prerequisites
2 Aesthetic mappings
2.1 Exercises
- Create a scatterplot of hwy vs. displ where the points are pink filled in triangles.
- Why did the following code not result in a plot with blue points?
- What does the stroke aesthetic do? What shapes does it work with? (Hint: use ?geom_point)
- What happens if you map an aesthetic to something other than a variable name, like aes(color = displ < 5)? Note, you’ll also need to specify x and y.
3 Geometric objects
mpg |>
ggplot(aes(x = displ, y = hwy, color = drv)) +
geom_point() +
geom_smooth(aes(linetype = drv))# hightlight the 2seater class
ggplot(mpg, aes(x = displ, y = hwy)) +
geom_point() +
geom_point(
data = mpg |> filter(class == "2seater"),
color = "red"
) +
geom_point(
data = mpg |> filter(class == "2seater"),
shape = "circle open", size = 3, color = "red"
)3.1 ggridges
3.2 Exercises
- What geom would you use to draw a line chart? A boxplot? A histogram? An area chart?
# Area chart
mpg |>
ggplot(aes(x = displ, y = hwy)) +
geom_area()mpg |>
ggplot(aes(x = displ, y = hwy)) +
geom_point()- Earlier in this chapter we used show.legend without explaining it:
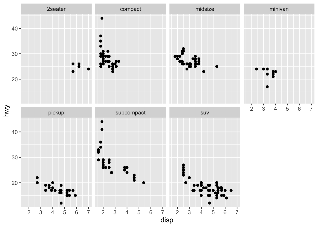
4 Facets
4.1 Exercises
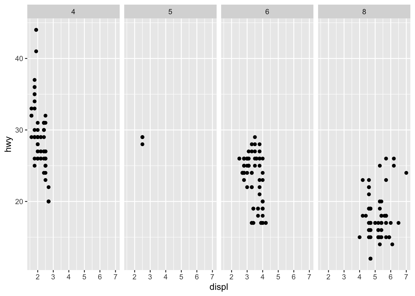
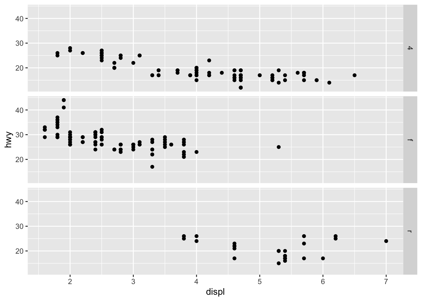
- What happens if you facet on a continuous variable?
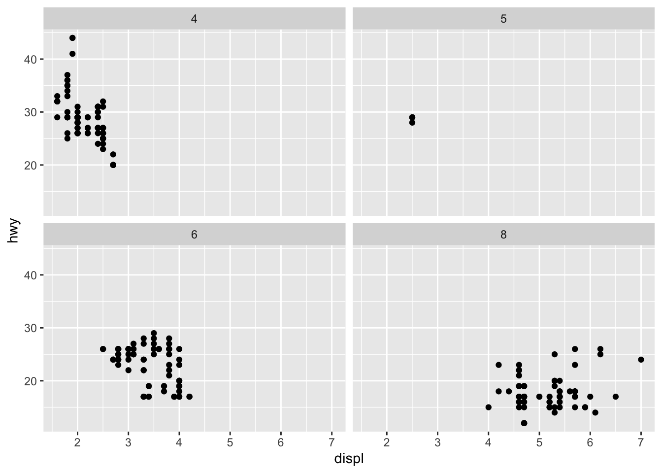
- What do the empty cells in the plot above with facet_grid(drv ~ cyl) mean? Run the following code. How do they relate to the resulting plot?
- What plots does the following code make? What does . do?
ggplot(mpg) +
geom_point(aes(x = displ, y = hwy)) +
facet_grid(drv ~ .)ggplot(mpg) +
geom_point(aes(x = displ, y = hwy)) +
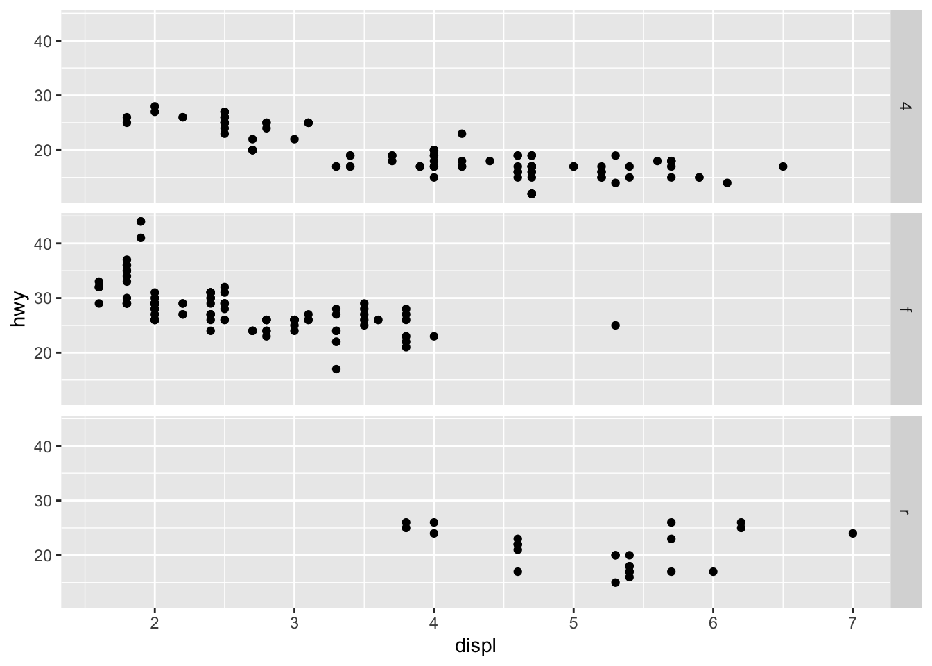
facet_grid(. ~ cyl)- Take the first faceted plot in this section:
- Which of the following plots makes it easier to compare engine size (displ) across cars with different drive trains? What does this say about when to place a faceting variable across rows or columns?
ggplot(mpg, aes(x = displ)) +
geom_histogram() +
facet_grid(drv ~ .)ggplot(mpg, aes(x = displ)) +
geom_histogram() +
facet_grid(. ~ drv)- Recreate the following plot using facet_wrap() instead of facet_grid(). How do the positions of the facet labels change?
5 Statistical transformations
ggplot(diamonds, aes(x = cut)) +
geom_bar()levels(diamonds$cut) [1] "Fair" "Good" "Very Good" "Premium" "Ideal"
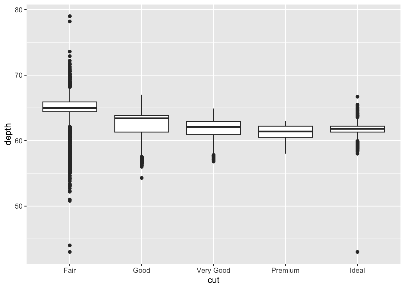
ggplot(diamonds) +
stat_summary(
aes(x = cut, y = depth),
fun.min = min,
fun.max = max,
fun = median
)5.1 Exercises
- What’s the default geom associated with stat_summary()? How could you rewrite the previous plot to use that geom function instead of using stat_summary()?
- What does geom_col() do? How is it different to geom_bar()?
- Most geoms and stats come in pairs that are almost always used in concert. Read through the documentation and make a list of all the pairs. What do they have in common?
# geom_bar() and stat_count()
# geom_boxplot() and stat_boxplot()
# geom_density() and stat_density()
# geom_histogram() and stat_bin()
# geom_smooth() and stat_smooth()
# geom_point() and stat_identity()
# geom_text() and stat_identity()
# geom_tile() and stat_identity()- What variables does stat_smooth() compute? What parameters control its behaviour?
# stat_smooth() computes a smoothed conditional mean
diamonds |>
ggplot(aes(x = carat, y = price)) +
geom_point() +
stat_smooth()- In our proportion bar chart, we need to set group = 1. Why? In other words what is the problem with these two graphs?
diamonds |>
ggplot(aes(x = cut, y = after_stat(prop))) +
geom_bar()diamonds |>
ggplot(aes(x = cut, y = after_stat(prop), group = 1)) +
geom_bar()- What does geom_ribbon() do? When might you use it?
6 Position adjustments
# Left
ggplot(mpg, aes(x = drv, color = drv)) +
geom_bar()# Right
ggplot(mpg, aes(x = drv, fill = drv)) +
geom_bar()# Left
ggplot(mpg, aes(x = drv, fill = class)) +
geom_bar(alpha = 1/5, position = "identity")# Right
ggplot(mpg, aes(x = drv, color = class)) +
geom_bar(fill = NA, position = "identity")# Left
ggplot(mpg, aes(x = drv, fill = class)) +
geom_bar(position = "fill")# Right
ggplot(mpg, aes(x = drv, fill = class)) +
geom_bar(position = "dodge")ggplot(mpg, aes(x = displ, y = hwy)) +
geom_point(position = "jitter")ggplot(mpg, aes(x = displ, y = hwy)) +
geom_point()6.1 Exercises
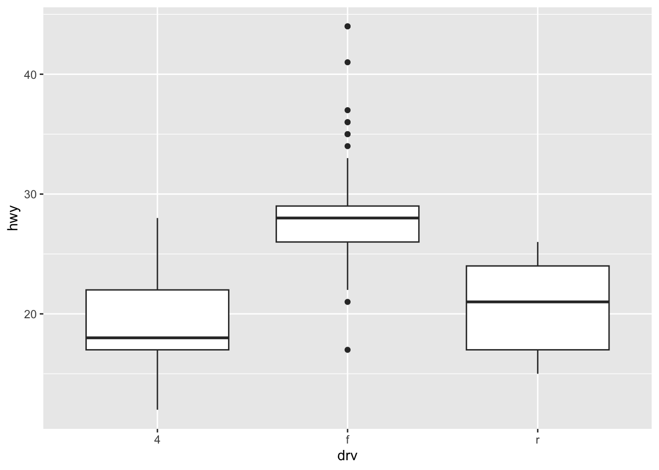
- What is the problem with the following plot? How could you improve it?
- What, if anything, is the difference between the two plots? Why?
ggplot(mpg, aes(x = displ, y = hwy)) +
geom_point()ggplot(mpg, aes(x = displ, y = hwy)) +
geom_point(position = "identity")- Compare and contrast geom_jitter() with geom_count().
ggplot(mpg, aes(x = displ, y = hwy)) +
geom_jitter()ggplot(mpg, aes(x = displ, y = hwy)) +
geom_count()- What’s the default position adjustment for geom_boxplot()? Create a visualization of the mpg dataset that demonstrates it.
7 Coordinate systems
nz <- map_data("nz")
ggplot(nz, aes(x = long, y = lat, group = group)) +
geom_polygon(fill = "white", color = "black")ggplot(nz, aes(x = long, y = lat, group = group)) +
geom_polygon(fill = "white", color = "black") +
coord_quickmap()bar <- ggplot(data = diamonds) +
geom_bar(
mapping = aes(x = clarity, fill = clarity),
show.legend = FALSE,
width = 1
) +
theme(aspect.ratio = 1)
bar + coord_flip()bar + coord_polar()df <- tibble(
x = 1:10,
y = cumsum(x^2)
)
ggplot(df, aes(x, y)) +
geom_point() +
labs(
x = quote(x[i]),
y = quote(sum(x[i] ^ 2, i == 1, n))
)label_info <- mpg |>
group_by(drv) |>
arrange(desc(displ)) |>
slice_head(n = 1) |>
mutate(
drive_type = case_when(
drv == "f" ~ "front-wheel drive",
drv == "r" ~ "rear-wheel drive",
drv == "4" ~ "4-wheel drive"
)
) |>
select(displ, hwy, drv, drive_type)
ggplot(mpg, aes(x = displ, y = hwy, color = drv)) +
geom_point(alpha = 0.3) +
geom_smooth(se = FALSE) +
geom_text(
data = label_info,
aes(x = displ, y = hwy, label = drive_type),
fontface = "bold", size = 5, hjust = "right", vjust = "bottom"
) +
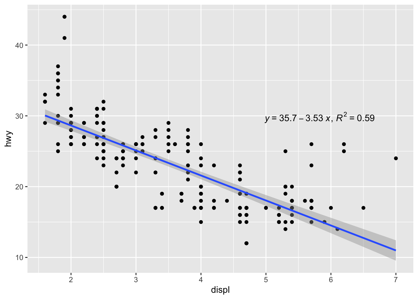
theme(legend.position = "none")8 Add regression equation
library(ggpmisc)
mpg |>
ggplot(aes(x = displ, y = hwy)) +
geom_point() +
geom_smooth(method = "lm") +
stat_poly_eq(use_label(c("eq", "R2")),
label.x = 0.9,
label.y = 0.6)ggplot(mpg, aes(x = displ, y = hwy)) +
geom_point(aes(color = class)) +
scale_x_continuous() +
scale_y_continuous() +
scale_color_discrete()































































